Динамическая модель шариковинтовой пары
(А.В. Шаламов, П.Г. Мазеин)
Качество обработки на станках зависит от точности позиционирования
исполнительных органов (ИО). В станках с ЧПУ перемещение ИО
осуществляется следящими приводами [1].
Системы управления следящих приводов подач строятся по одной из
двух схем (рис. 1): с замкнутым или полузамкнутым контуром
регулирования [2].

с полузамкнутым (а) и замкнутым (б) контуром регулирования:
1 − УЧПУ; 2 − регулятор положения; 3 − регулятор скорости; 4 − двигатель привода подачи; 5 − тахогенератор;
6 − шариковинтовая пара (ШВП); 7 ? ИО; 8 и 9 − соответственно, круговой и линейный измерительные преобразователи
Повысить точность позиционирования ИО можно путем предварительного определения кинематической погрешности ходового винта, а также зазоров и упругих деформаций механической системы. Для определения кинематической погрешности ШВП можно использовать математическое моделирование, установив функциональную связь между подводимым к винту крутящим моментом и линейным перемещением гайки. При построении математической модели ШВП примем следующие допущения. Трение в подшипниках опор винта и в паре винт–гайка является линейным, не учитываются гироскопические и инерционные силы в ШВП, жесткость винта и гайки по длине неизменна, при определении инерции механизма массой шариков как сравнимо малой пренебрежем, не учитываются возможные погрешности изготовления элементов. Составим расчетную схему (рис. 2).

m1 − масса гайки, I2 − момент инерции винта, с1, с2, с3 − жесткость винта, передачи винт–гайка, опоры винта, соответственно, β1 и β2 − коэффициенты демпфирования в подшипниках и ШВП, соответственно, q − линейное перемещение гайки, φ − угол поворота винта, M(t) − вынуждающий момент
Из теории механических колебаний [3] известно, что дифференциальное уравнение движения под действием произвольно заданной вынуждающей силы имеет вид:
![]() |
(1) |
где: q − обобщенная координата; a − инерционный коэффициент; b − обобщенный коэффициент трения; с − обобщенный коэффициент жесткости системы; F(t) − вынуждающая внешняя сила. За обобщенную координату (q) примем линейное перемещение гайки. Для нахождения обобщенной массы системы найдем кинетическую энергию системы:
![]() |
(2) |
где: m1 − масса гайки; I2 − момент инерции
винта; φ − угол поворота винта.
Как известно, для винтовой передачи соотношение между углом
поворота винта и осевым перемещением гайки имеет следующее
соотношение:
![]() |
(3) |
где: Рв −ход винта.
Продифференцировав это выражение по времени получим:
![]() |
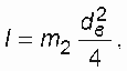
Момент инерции винта найдем по формуле:
![]() |
(4) |
где: m2 − масса винта; dв − диаметр
винта.
Подставляя (3) и (4) в (2) получим кинетическую энергию системы:
![]() |
(5) |
Из [3] известно, что:
![]() |
(6) |
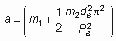
Подставив (4) в (5) получим инерционный коэффициент системы:
![]() |
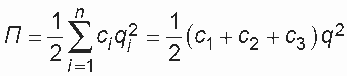
Для нахождения обобщенного коэффициента жесткости системы определим потенциаль- ную энергию системы:
![]() |
где: с1− жесткость винта; с2− жесткость
передачи винт–гайка; с3− жесткость опоры винта.
Так как:
![]() |
получим обобщенный коэффициент жесткости системы:
C=(C1+C2+C3)
Жесткость винта при односторонней опоре согласно [6] определяется:
![]() |
(7) |
где: dk− диаметр винта по винтовой канавке; L − длина
винта.
Жесткость пары винт–гайка согласно [7]:
![]() |
(8) |
где: zp − расчетное число шариков, Qн
−осевой натяг.
Жесткость опор определяется конструкцией по табл. 4.6 [7]. Зная
инерционный коэффициент и коэффициент жесткости системы, учитывая
(7) и (8) найдем частоту собственных колебаний ШВП
![]() |
Чтобы записать дифференциальное уравнение движения системы
необходимо определить
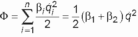
обобщенный коэффициент трения. Для этого определим диссипативную
функцию Рэлея [3, 5].
![]() |
(9) |
где: β1 и β2 −коэффициенты демпфирования в
подшипниках и ШВП, соответственно.
Из [4] следует, что коэффициент трения в ШВП равен:
![]() |
(10) |
где: k −радиус площадки контакта между шариком и винтом; d ?
диаметр шарика; βk − угол
контакта.
Радиус площадки контакта и угол контакта можно определить при
использовании компью- терных систем, основанных на МКЭ. Потери на
трение в подшипниках определяются их геомет- рическими и
конструктивными параметрами по известным зависимостям. Учитывая
(10) пере- пишем (9) следующим образом:
![]() |
(11) |
Так как обобщенная сила трения равна:
![]() |
(12) |
то, объединив (10) и (11), получим:
![]() |
(13) |
Теперь зная все коэффициенты дифференциального уравнения (1)
найдем его решение.
В общем случае при нулевых начальных условиях оно имеет вид:
![]() |
(14) |
где:h - коэффициент, характеризующий вязкость системы, определяется:
![]() |
(15) |
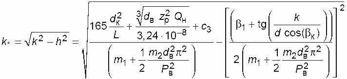
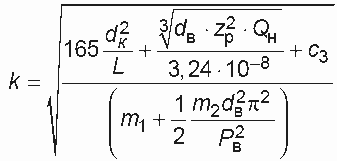
k* − частота колебаний системы, определяющаяся выражением:
![]() |
(16) |
Принимая F(t) = M(t) /2 и подставляя в (14) полученные
коэффициенты (15) и (16) получаем
уравнение движения гайки ШВП под действием внешней возмущающей
силы.

Заключение
Полученное уравнение позволяет по подводимому моменту М(t) находить линейное перемещение гайки шариковинтовой пары. Оно отражает влияние на работу механизма основных характеристик ШВП: предварительного натяга, трения, массо–инерционных и геометрических характеристик передачи.
Список литературы:
- Лебедев А.М., Орлова Р.Т., Пальцев А.В. Следящие электроприводы станков с ЧПУ. — М.: Энергоатомиздат, 1988. — 222 с.
- Кордыш Л.М., Пекарский Э.М. Приводы подачи исполнительных органов металлорежущих станков // СТИН. —1997. — № 3. — С.18 — 21.
- Пановко Я.Г. Введение в теорию механических колебаний: Учебное пособие. — М.: Наука, 1980. — 270 с.
- Пясик И.Б. Шариковинтовые механизмы. — Киев: Машгиз, 1962. — 199 с.
- Левин А.И. Математическое моделирование в исследованиях и проектировании станков.— М.: Машиностроение, 1978. — 184 с.
- Проектирование металлорежущих станков и станочных систем: Справочник–учебник. В 3–х т. Т.2. Ч.1. Расчет и онструирование узлов и элементов станков / А.С. Проников, Е.И. Бо рисов, В.В. Бушуев и др. — М.: Издательство МГТУ им. Н.Э. Баумана: Машиностроение, 1995. — 371 с.
- Станки с числовым программным управлением (специализированные) / В.А. Лещенко, Н.А. Богданов, И.В. Вайнштейн и др. — М.: Машиностроение, 1988. — 568 с.